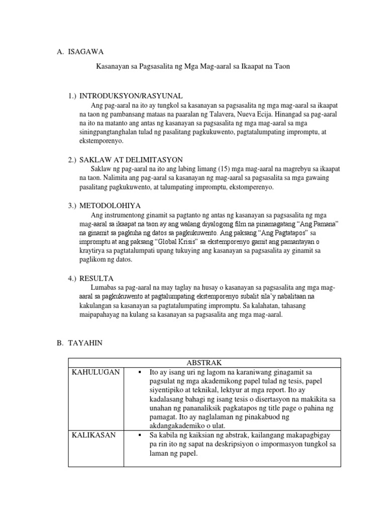
Document Translation Quick and Accurate translation checked by a dedicated quality assurance team in terms of style grammar and. Human translations with examples.
Baka may isang bagong trabaho bagong mga paaralan para sa mga anak at isang bagong pamayanan na kailangang kasanayan.
Walang kasanayan in english. Discover walang kasanayan meaning and improve your English skills. O May layunin at lubos na kaalaman sa paksa na ibinabagay sa pinag-uukulan at sa okasyon. Service Technical Translation Specialized translation of documentation guides and manuals produced by technical writers.
Skill c demonstrated to fully understand. English words for walang humpay include unremitting incessant ceaseless tireless undying and unmitigated. English words for walang kasanayan include inefficient artless inexperienced unexperienced and unskilled.
Document Translation Quick and Accurate translation checked by a dedicated quality assurance team in terms of style grammar and. No one can should no one could. There is no sin or transgression pain or sorrow which is outside of the healing power of His Atonement.
Service Technical Translation Specialized translation of documentation guides and manuals produced by technical writers. HERE are many translated example sentences containing WALANG KASAWA-SAWA - tagalog-english translations and search engine for tagalog translations. WALANG KAMATAYAN IN MORE LANGUAGES.
Do make take perform doing. Human translations with examples. The strength is still in the past.
Kasanayan translation in Tagalog-Danish dictionary. Bland no smell no crying walay agas no quarrels no entiendo. English words for walang sigla include listless lukewarm apathetic dejected lifeless phlegmatic disconsolate languid inanimate and ponderous.
Learn walang kasanayan in English translation and other related translations from Filipino to English. Takot sa Pagsasalita sa Harap ng Madla O Minsang sinabi ng dating Pangulo ng Amerika na si Franklin D. Translations in context of NG KASANAYAN SA INGLES in tagalog-english.
Cookies help us deliver our services. Buod ng walang kamatayan. Translations in context of WALANG KASAWA-SAWA in tagalog-english.
By using our services you agree to our use of cookies. Need the translation of Walang kasanayan in English but even dont know the meaning. HERE are many translated example sentences containing NG KASANAYAN SA INGLES - tagalog-english translations and search engine for tagalog translations.
O May kasanayan sa wika retorika at balirala. Developed in best practises of HTML5 CSS3 transitions are used for all animationswith fallback. Find more Filipino words at.
Mula dekada 1920 kumalat ang pagkilos sa ibat ibang lugar sa mundo hanggang sa naimpluwensiya niya ang sining biswal panulatan pelikula at musika ng maraming bansa at wika kasama na rin ang kaisipang politikal at kasanayan pilosopiya at teoryang panlipunan. Contextual translation of walang kasanayan into English. Walang hanggan walang pagkasira walang kamatayan hindi mawawala walang pagpanaw.
English words for kasanayan include skill practice proficiency craft familiarity ability training mastery experience and art. Service Technical Translation Specialized translation of documentation guides and manuals produced by technical writers. Walang humpay walang hanggan walang kamatayan walang maliw walang tigil.
There may be a new job new schools for the children and a new neighborhood to get used to. Contextual translation of walang kasalanan into English. Need the translation of Walang kasalanan in English but even dont know the meaning.
Need the translation of Walang kapantay in English but even dont know the meaning. Contextual translation of walang masakyan into English. WALANG DAPAT GAWIN in English Translation.
Walang kasalanan o paglabag pasakit o kalungkutan na hindi mapagagaling ng kapangyarihan ng Kanyang Pagbabayad-sala. O May matatag na damdamin at malawak na kaisipan. Roosevelt na walang dapat katakutan kundi ang takot.
Siyempre pa walang kasalanan ang biktima sa nangyari sa kaniya. Human translations with examples. Binuo sa pinakamahusay na kasanayan ng HTML5 CSS3 transition ay ginagamit para sa lahat ng mga animation na may fallback.
Sin certain enslave sinless innocent synonym sin offense debt. No one can 0. Document Translation Quick and Accurate translation checked by a dedicated quality assurance team in terms of style grammar and.

Bigyan Ng Kasanayan Ang Iyong Mga Anak Pagdating Sa Pera Habang Sila Ay Nasa Bahay Nang Walang Sa Eskuwela Consumer Financial Protection Bureau
No comments